Home / Publications / New low-molecular-weight electroluminescent materials for green organic light emitting diodes

New low-molecular-weight electroluminescent materials for green organic light emitting diodes

Diana Karimovna Susarova 1
Diana Karimovna Susarova
Aleksandr Sergeevich Peregudov 2
Aleksandr Sergeevich Peregudov
Svetlana Mikhailovna Peregudova 2
Svetlana Mikhailovna Peregudova
Published 2014-02-21
CommunicationVolume 24, Issue 2, 88-90
6
Share
Cite this
GOST
 | 
Cite this
GOST Copy
Susarova D. K. et al. New low-molecular-weight electroluminescent materials for green organic light emitting diodes // Mendeleev Communications. 2014. Vol. 24. No. 2. pp. 88-90.
GOST all authors (up to 50) Copy
Susarova D. K., Peregudov A. S., Peregudova S. M., Troshin P. A. New low-molecular-weight electroluminescent materials for green organic light emitting diodes // Mendeleev Communications. 2014. Vol. 24. No. 2. pp. 88-90.
RIS
 | 
Cite this
RIS Copy
TY - JOUR
DO - 10.1016/j.mencom.2014.03.007
UR - https://mendcomm.colab.ws/publications/10.1016/j.mencom.2014.03.007
TI - New low-molecular-weight electroluminescent materials for green organic light emitting diodes
T2 - Mendeleev Communications
AU - Susarova, Diana Karimovna
AU - Peregudov, Aleksandr Sergeevich
AU - Peregudova, Svetlana Mikhailovna
AU - Troshin, Pavel Anatol'evich
PY - 2014
DA - 2014/02/21
PB - Mendeleev Communications
SP - 88-90
IS - 2
VL - 24
ER -
BibTex
 | 
Cite this
BibTex (up to 50 authors) Copy
@article{2014_Susarova,
author = {Diana Karimovna Susarova and Aleksandr Sergeevich Peregudov and Svetlana Mikhailovna Peregudova and Pavel Anatol'evich Troshin},
title = {New low-molecular-weight electroluminescent materials for green organic light emitting diodes},
journal = {Mendeleev Communications},
year = {2014},
volume = {24},
publisher = {Mendeleev Communications},
month = {Feb},
url = {https://mendcomm.colab.ws/publications/10.1016/j.mencom.2014.03.007},
number = {2},
pages = {88--90},
doi = {10.1016/j.mencom.2014.03.007}
}
MLA
Cite this
MLA Copy
Susarova, Diana Karimovna, et al. “New low-molecular-weight electroluminescent materials for green organic light emitting diodes.” Mendeleev Communications, vol. 24, no. 2, Feb. 2014, pp. 88-90. https://mendcomm.colab.ws/publications/10.1016/j.mencom.2014.03.007.

Abstract

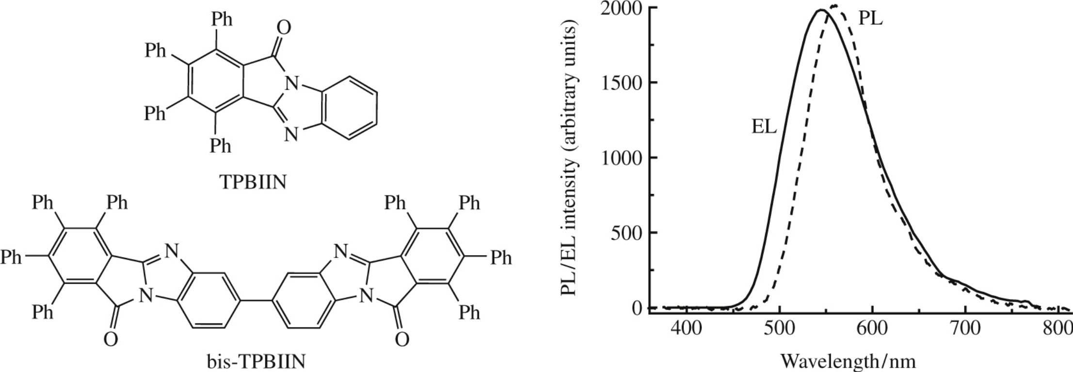
A new family of low-molecular-weight fluorescent emitters comprising a 1,2,3,4-tetraphenylbenzo[4,5]imidazo[2,1-a]isoindol-11-one core has been designed and applied to the construction of highly efficient organic light emitting diodes with strong green exciplex emission.

References

1.
Recent Progress and Future Perspectives of Light Emitting Polymers for Full-color Display
Yamada T., Tsubata Y.
Yuki Gosei Kagaku Kyokaishi/Journal of Synthetic Organic Chemistry, 2012
2.
Organic light emitting diodes: Energy saving lighting technology—A review
Thejo Kalyani N., Dhoble S.J.
Renewable and Sustainable Energy Reviews, 2012
3.
Electroluminescent properties of anthracene-containing polyimides
Mal'tsev E.I., Brusentseva M.A., Lypenko D.A., Berendyaev V.I., Kolesnikov V.A., Kotov B.V., Vannikov A.V.
Polymers for Advanced Technologies, 2000
4.
Exploiting a Dual‐Fluorescence Process in Fluorene–Dibenzothiophene‐S,S‐dioxideCo‐Polymers to Give Efficient Single Polymer LEDs with Broadened Emission
5.
Light-Emitting Polythiophenes
Perepichka I.F., Perepichka D.F., Meng H., Wudl F.
Advanced Materials, 2005
6.
Kostyanovsky V.A., Susarova D.K., Adam G., Lyubovskaya R.N., Troshin P.A.
Mendeleev Communications, 2013
7.
Electroluminescence of CdSe/CdS quantum dots and the transfer of the exciton excitation energy in an organic light-emitting diode
8.
Electroluminescent nanocomposites based on molecular crystals for polymer optoelectronics. Part 1
Maltsev E.I., Prokhorov V.V., Perelygina O.M., Lypenko D.A., Vannikov A.V.
Inorganic Materials: Applied Research, 2011
9.
Mayorova J.Y., Troshin P.A., Peregudov A.S., Peregudova S.M., Kaplunova M.G., Lyubovskaya R.N.
Mendeleev Communications, 2007
10.
Synthesis and properties of iridium polymer complexes based on novel bipyridyl ligands
Goikhman M.Y., Podeshvo I.V., Loretsyan N.L., Gofman I.V., Smyslov R.Y., Nekrasova T.N., Smirnova V.E., Polevoi A.A., Yakimanskii A.V.
Russian Chemical Bulletin, 2012
12.
Highly efficient molecular organic light-emitting diodes based on exciplex emission
Palilis L.C., Mäkinen A.J., Uchida M., Kafafi Z.H.
Applied Physics Letters, 2003
13.
Efficient blue emission from siloles
Tang B.Z., Zhan X., Yu G., Sze Lee P.P., Liu Y., Zhu D.
Journal of Materials Chemistry A, 2001
14.
Making silole photovoltaically active by attaching carbazolyl donor groups to the silolyl acceptor core.
Mi B., Dong Y., Li Z., Lam J.W., Häußler M., Sung H.H., Kwok H.S., Dong Y., Williams I.D., Liu Y., Luo Y., Shuai Z., Zhu D., Tang B.Z.
Chemical Communications, 2005
16.
Green electrogenerated chemiluminescence of highly fluorescent benzothiadiazole and fluorene derivatives.
Omer K.M., Ku S., Wong K., Bard A.J.
Journal of the American Chemical Society, 2009
18.
Maleinsäureaddukte an Phencyclon. [Heteropolare, XXVIII]
Dilthey W., ter Horst I., Schaefer A.
Journal für praktische Chemie, 1937
19.
Organic Syntheses. An Annual Publication of Satisfactory Methods for the Preparation of Organic Chemicals, J. Wiley & Sons, New York, 1943, 23, 93.
21.
T. Deno, B.G. Delvin, S.H. Eldin, A. Igbal, K. Kunimoto and J. Otani, US Patent, 6080516 A, C07D, C09B, H05B, 1998.
22.
B. G. Delvin, S.H. Eldin, A. Igbal, K. Kunimoto and J. Otani, WO Patent, 9833866, C09B, C09K, C07D, 1998.
23.
B. G. Delvin, J. Otani and K. Kunimoto, WO Patent, 9833865, C09K, C07D, C09B, H01L, 1998.
24.
B. G. Delvin, J. Otani, K. Kunimoto, T. Deno, A. Igbal and S. H. Eldin, WO Patent, 9833864, C07D, H05B, C09B, C09K, 1998.
25.
T. Deno, K. Komada, A. Igbal and B. G. Delvin, WO Patent, 9833863, C07D, H05B, C09K, C09B, 1998.
26.
T. Deno, B.G. Delvin, K. Komada, K. Kunimoto and J. Otani, WO Patent, 9833862, C09B, C07D, C09K, 1998.
27.
Exciplex electroluminescence and photoluminescence spectra of the new organic materials based on zinc complexes of sulphanylamino-substituted ligands
Kaplunov M.G., Krasnikova S.S., Nikitenko S.L., Sermakasheva N.L., Yakushchenko I.K.
Nanoscale Research Letters, 2012