Home / Publications / Functionalization of Fe3O4 magnetic nanoparticles with RGD peptide derivatives

Functionalization of Fe3O4 magnetic nanoparticles with RGD peptide derivatives

Alexander Mikhailovich Demin 1
Alexander Mikhailovich Demin
Alexey Yur'evich Vigorov 1
Alexey Yur'evich Vigorov
Irina Albertovna Nizova 1
Irina Albertovna Nizova
Mikhail Alexandrovich Uimin 2
Mikhail Alexandrovich Uimin
Nina Nikiforovna Shchegoleva 2
Nina Nikiforovna Shchegoleva
Anatolii Egorovich Ermakov 2
Anatolii Egorovich Ermakov
Victor Pavlovich Krasnov 1
Victor Pavlovich Krasnov
Published 2013-12-12
CommunicationVolume 24, Issue 1, 20-22
21
Share
Cite this
GOST
 | 
Cite this
GOST Copy
Demin A. M. et al. Functionalization of Fe3O4 magnetic nanoparticles with RGD peptide derivatives // Mendeleev Communications. 2013. Vol. 24. No. 1. pp. 20-22.
GOST all authors (up to 50) Copy
Demin A. M., Vigorov A. Y., Nizova I. A., Uimin M. A., Shchegoleva N. N., Ermakov A. E., Krasnov V. P., Charushin V. N. Functionalization of Fe3O4 magnetic nanoparticles with RGD peptide derivatives // Mendeleev Communications. 2013. Vol. 24. No. 1. pp. 20-22.
RIS
 | 
Cite this
RIS Copy
TY - JOUR
DO - 10.1016/j.mencom.2013.12.006
UR - https://mendcomm.colab.ws/publications/10.1016/j.mencom.2013.12.006
TI - Functionalization of Fe3O4 magnetic nanoparticles with RGD peptide derivatives
T2 - Mendeleev Communications
AU - Demin, Alexander Mikhailovich
AU - Vigorov, Alexey Yur'evich
AU - Nizova, Irina Albertovna
AU - Uimin, Mikhail Alexandrovich
AU - Shchegoleva, Nina Nikiforovna
AU - Ermakov, Anatolii Egorovich
AU - Krasnov, Victor Pavlovich
AU - Charushin, Valery Nikolaevich
PY - 2013
DA - 2013/12/12
PB - Mendeleev Communications
SP - 20-22
IS - 1
VL - 24
ER -
BibTex
 | 
Cite this
BibTex (up to 50 authors) Copy
@article{2013_Demin,
author = {Alexander Mikhailovich Demin and Alexey Yur'evich Vigorov and Irina Albertovna Nizova and Mikhail Alexandrovich Uimin and Nina Nikiforovna Shchegoleva and Anatolii Egorovich Ermakov and Victor Pavlovich Krasnov and Valery Nikolaevich Charushin},
title = {Functionalization of Fe3O4 magnetic nanoparticles with RGD peptide derivatives},
journal = {Mendeleev Communications},
year = {2013},
volume = {24},
publisher = {Mendeleev Communications},
month = {Dec},
url = {https://mendcomm.colab.ws/publications/10.1016/j.mencom.2013.12.006},
number = {1},
pages = {20--22},
doi = {10.1016/j.mencom.2013.12.006}
}
MLA
Cite this
MLA Copy
Demin, Alexander Mikhailovich, et al. “Functionalization of Fe3O4 magnetic nanoparticles with RGD peptide derivatives.” Mendeleev Communications, vol. 24, no. 1, Dec. 2013, pp. 20-22. https://mendcomm.colab.ws/publications/10.1016/j.mencom.2013.12.006.

Abstract

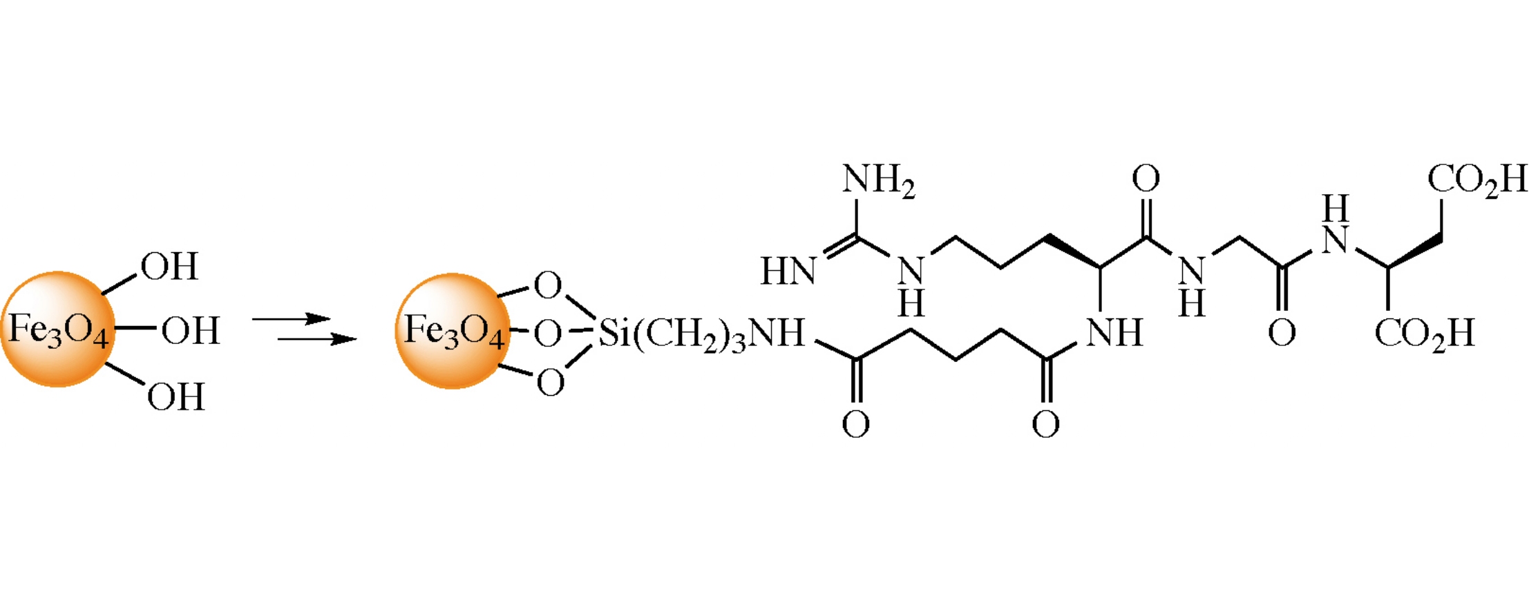
Derivatives of RGD peptide, such as N?-Pbf-l-Arg-Gly-l-Asp(OAlk)2 (Alk = Me or But), which contain glutaric acid moiety as a linker, were synthesized and immobilized to Fe3O4 magnetic nanoparticles obtained by gas condensation method.

References

1.
Platelet Membrane Glycoprotein IIb/IIIa: Member of a Family of Arg-Gly-Asp—Specific Adhesion Receptors
Pytela R., Pierschbacher M.D., Ginsberg M.H., Plow E.F., Ruoslahti E.
Science, 1986
2.
Iron oxide nanoparticles for targeted cancer imaging and diagnostics.
Rosen J.E., Chan L., Shieh D., Gu F.X.
Nanomedicine: Nanotechnology, Biology, and Medicine, 2012
3.
Surface-Engineered Magnetic Nanoparticle Platforms for Cancer Imaging and Therapy
Xie J., Liu G., Eden H.S., Ai H., Chen X.
Accounts of Chemical Research, 2011
4.
Evaluation of Multivalent, Functional Polymeric Nanoparticles for Imaging Applications
Shokeen M., Pressly E.D., Hagooly A., Zheleznyak A., Ramos N., Fiamengo A.L., Welch M.J., Hawker C.J., Anderson C.J.
ACS Nano, 2011
5.
10.1016/j.mencom.2013.12.006_bib0025
Cressman
Bio- conjugate Chem., 2009
7.
Heat release in magnetic nanoparticles in AC magnetic fields
Sharapova V.A., Uimin M.A., Mysik A.A., Ermakov A.E.
Physics of Metals and Metallography, 2010
10.
Rudakovskaya P.G., Beloglazkina E.K., Majouga A.G., Zyk N.V.
Mendeleev Communications, 2010
11.
D. A. Gulin, N. Pothayee, A. A. Kuznetsov, A. G. Majouga, J. S. Riffle, Yu. I. Golovin and A. V. Kabanov, Angew. Chem. Int. Ed., 2012, 51.
16.
Surface modification of Fe3O4 magnetic nanoparticles with (S)-naproxen
Demin A.M., Uimin M.A., Shchegoleva N.N., Yermakov A.E., Krasnov V.P.
Nanotechnologies in Russia, 2012